5 Frequency Domain Jitter Measurements
Whereas time domain measurements are handled primarily by an oscilloscope, frequency domain measurements are handled primarily by a signal source analyzer (SSA). Most SSAs have a very low noise floor (–180dBc/Hz) and have integrated cross- correlation techniques that further reduce the test system noise. Cross-correlation essentially cancels noise by taking the vector sum of the measurement results of two independent measurement channels.
For measuring phase noise, Microchip prefers using the Agilent E5052B. The 5052B includes two independent PLL paths with two built-in reference sources that are uncorrelated with each other (there is also an option for an external reference source). If two signals are uncorrelated, their vector sum, meaning the total noise power from the reference sources taken through vector averaging, lowers the system noise floor by canceling the noise from its internal reference sources and other related circuits, while the noise signal from the DUT is emphasized. This allows for fast and user-friendly testing with the main downside being that only one device can be tested at a time. The E5052B can also calculate the integrated noise over a desired range (see the example below, measuring from 12kHz to 5MHz) and calculate the integrated phase jitter.
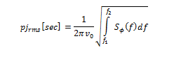
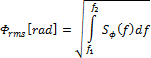
If one does not have a signal source/spectrum analyzer that can calculate the jitter by itself, any analyzer with a decent noise floor can be used to calculate the frequency domain phase jitter and integrated period jitter using the formulas below.
As an example, these formulas were used for the same part displayed above and, using only markers 4-7, we were able to calculate RMS phase jitter of 10.0468 degrees and an integrated period jitter of 178.611fs, as compared to the E5052B’s results of 10.1156 degrees and 179.834fs. There are also several free web-based tools that can calculate these values based off of inputting the data.
Microchip has used the Jitter Labs application to confirm the measurements of our test setup.
